Benjamin Franklin dijo hace muchos años que «una onza de prevención vale tanto como una libra de curación». Sin embargo, nuestro sistema de salud se centra principalmente en el tratamiento de enfermedades y poco en la prevención y mejora de la salud.
El ejercicio físico es una herramienta indispensable y científicamente demostrada para mejorar la salud y prevenir enfermedades crónicas. En este artículo del blog te explicamos como el entrenamiento ayuda a prevenir el dolor de espalda, retrasando así el envejecimiento al combatir con la pérdida de masa muscular y ósea. Además, ayuda a prevenir enfermedades metabólicas como la obesidad o la diabetes entre otras.
Haz ejercicio, sigue una dieta sana y equilibrada, descansa bien y tu salud te lo agradecerá.
Ejercicio físico como medicina
Según la OMS, la falta de actividad física es uno de los principales factores de riesgo de mortalidad por enfermedades no transmisibles. Las personas con un nivel insuficiente de actividad física tienen un riesgo de muerte de entre un 20% y un 30% mayor en comparación con aquellas que sí alcanzan ese grado idóneo de ejercicio.
Se ha demostrado que la actividad física tiene importantes beneficios para nuestra salud:
- Ayuda a prevenir y controlar enfermedades cardiovasculares, la diabetes y varios tipos de cáncer.
- Ayuda a prevenir la hipertensión y a mantener un peso corporal saludable.
- Mejora la salud mental y reduce los síntomas de estrés, depresión y ansiedad.
- Mejora los procesos cognitivos, el aprendizaje y retrasa el envejecimiento.
- Contribuye a un desarrollo y crecimiento saludable de los jóvenes.
- Combate la pérdida de masa muscular, por lo que se previene la aparición de dolencias del aparato locomotor, como por ejemplo el dolor de espalda.
A pesar de que la mayoría de nosotros somos conscientes de la importancia que tiene el ejercicio físico, a nivel mundial, cerca del 27,5% de los adultos y el 81% de los adolescentes no cumplen con las recomendaciones mundiales de la OMS de 2010 sobre actividad física, es más, casi no se ha registrado mejora alguna en los últimos 10 años.
Asimismo, existen desigualdades notables: los datos demuestran que en casi todos los países las niñas y las mujeres son menos activas, y que los niveles de actividad física varían enormemente entre los grupos económicos de mayor y menor nivel y en función del país y la región.
Una buena forma de saber si somos una persona lo suficientemente activa es realizar este Test para evaluar nuestro nivel de actividad física.
Recomendaciones principales sobre actividad física
Estos son algunos de los mensajes principales que transmite la OMS en sus recomendaciones:
- Todas las personas pueden beneficiarse de incrementar la actividad física por lo que deben realizar actividad física de manera regular y limitar el sedentarismo.
- Cualquier cantidad de actividad física es preferible a ninguna, y cuanta más se ejecute, mejor.
Para mejorar la salud y el bienestar, la OMS recomienda entre 150 y 300 minutos de actividad física aeróbica moderada a la semana o entre 75 y 150 de actividad física aeróbica vigorosa en los adultos. En niños y adolescentes en cambio, se recomienda una media de 60 minutos de actividad física aeróbica moderada al día.
- El fortalecimiento muscular beneficia a todas las personas.
Los adultos también deben realizar actividades de fortalecimiento muscular dos o más días a la semana, ya que ello reporta beneficios adicionales para la salud. Las personas mayores (a partir de 65 años) deberían incorporar actividades físicas que den prioridad al equilibrio y la coordinación, así como al fortalecimiento muscular, para ayudar a evitar caídas y mejorar su salud.
El ejercicio físico previene….
- La pérdida de masa muscular o sarcopenia
A partir de los 25 años la fuerza de los músculos disminuye progresivamente si no hacemos nada por evitarlo. Después de los 50, una persona puede perder hasta un 2% de masa muscular por año. ¿La consecuencia? Nos volvemos más propensos a las dolencias físicas como el dolor de espalda.
El ejercicio físico y, el entrenamiento de fuerza en particular, nos ayuda a mantener nuestro cuerpo fuerte y sano.

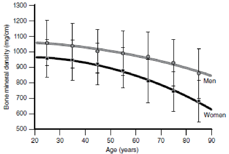
- La pérdida de masa ósea o osteoporosis
Hacer ejercicio a cualquier edad es vital para tener unos huesos sanos, y es fundamental para la prevención y el tratamiento de la osteoporosis. Los huesos, como los músculos, son tejidos vivos que responden al ejercicio y se fortalecen. En general, las mujeres y los hombres que hacen ejercicio con regularidad alcanzan una mayor densidad ósea (el nivel más alto de consistencia y fuerza de los huesos) que los que no hacen ejercicio.
La mayoría de las personas alcanzan este punto máximo de densidad ósea entre los 20 y los 30 años. Generalmente, a partir de esa edad, la densidad ósea empieza a disminuir, para evitar esto, las mujeres y los hombres mayores de 20 años pueden ayudar a prevenir haciendo ejercicio con frecuencia.

- El dolor de espalda
La causa principal del dolor de espalda es el debilitamiento de los músculos, en particular, de los extensores profundos. Este es el origen del 80% de los problemas relacionados con el dolor. Para prevenir y mejorar la molestia, el fortalecimiento muscular mediante el ejercicio físico es lo más conveniente.
Unos músculos débiles significan para la espalda un menor apoyo y estabilización de la columna vertebral favoreciendo así la aparición de lesiones y el desgaste prematuro de la columna.
Nuestro estilo de vida cada vez más sedentario y con menor presencia de ejercicio físico acrecientan esta situación. Más del 70% de las personas adultas sufren un episodio de dolor de espalda en algún momento de su vida.
- La aparición de enfermedades
La actividad física regular puede reducir el riesgo de hipertensión, cardiopatías coronarias, accidentes cerebrovasculares, diabetes, obesidad y varios tipos de cáncer, entre ellos el cáncer de mama y el de colon. También, influye positivamente en nuestra salud mental, reduciendo los síntomas de ansiedad, depresión y estrés.
- El envejecimiento prematuro
Aunque el envejecimiento es un proceso natural de nuestro organismo, el ejercicio físico puede ayudarnos a retrasarlo y a combatir los problemas que van apareciendo con el paso de los años. Muchos estudios señalan que hacer ejercicio de forma regular durante nuestra vida es sin duda la mejor medicina para retrasar el proceso de envejecimiento y mantenernos sanos. Algunos expertos señalan que es indispensable comenzar a hacer ejercicio a partir de los 25-30 años, cuando empezamos a perder masa muscular.
En Wunder Training somos especialistas en realizar programas de ejercicio físico orientados a la mejora de la salud y calidad de vida de las personas. Nuestros médicos, entrenadores y fisioterapeutas diseñan tu plan de entrenamiento de manera personalizada, teniendo en cuenta tu edad, objetivos y condición física. Nuestro método de entrenamiento está basado en los estudios científicos más relevantes de los últimos 50 años. Conseguirás mejorar tu forma física y ganar en salud y bienestar con solo 2 sesiones de 60 minutos a la semana. ¡El ejercicio es la mejor medicina!


SESIÓN DE ENTRENAMIENTO GRATUITA
Descubre tu plan de entrenamiento personalizado con una sesión gratuita

