Benjamin Franklin va dir fa molts anys que “una unça de prevenció val tant com una lliura de curació”. No obstant això, el nostre sistema de salut se centra principalment en el tractament de malalties i poc en la prevenció i millora de la salut.
L’exercici físic és una eina indispensable i científicament demostrada per a millorar la salut i prevenir malalties cròniques. En aquest article del blog t’expliquem com l’entrenament ajuda a prevenir el dolor d’esquena, retardant així l’envelliment en combatre amb la pèrdua de massa muscular i òssia. A més, ajuda a prevenir malalties metabòliques com l’obesitat o la diabetis entre altres.
Fes exercici, segueix una dieta sana i equilibrada, descansa bé i la teva salut t’ho agrairà.
Exercici físic com a medicina
Segons l’OMS, la falta d’activitat física és un dels principals factors de risc de mortalitat per malalties no transmissibles. Les persones amb un nivell insuficient d’activitat física tenen un risc de mort d’entre un 20% i un 30% major en comparació amb aquelles que sí que aconsegueixen aquest grau idoni d’exercici.
S’ha demostrat que l’activitat física té importants beneficis per a la nostra salut:
• Ajuda a prevenir i controlar malalties cardiovasculars, la diabetis i diversos tipus de càncer.
• Ajuda a prevenir la hipertensió i a mantenir un pes corporal saludable.
• Millora la salut mental i redueix els símptomes d’estrès, depressió i ansietat.
• Millora els processos cognitius, l’aprenentatge i retarda l’envelliment.
• Contribueix a un desenvolupament i creixement saludable dels joves.
• Combat la pèrdua de massa muscular, per la qual cosa es prevé l’aparició de malalties de l’aparell locomotor, com per exemple el dolor d’esquena.
Malgrat que la majoria de nosaltres som conscients de la importància que té l’exercici físic, a escala mundial, prop del 27,5% dels adults i el 81% dels adolescents no compleixen amb les recomanacions mundials de l’OMS de 2010 sobre activitat física, és més, gairebé no s’ha registrat cap millora en els últims deu anys.
Així mateix, existeixen desigualtats notables: les dades demostren que en gairebé tots els països les nenes i les dones són menys actives, i que els nivells d’activitat física varien notablement entre els grups econòmics de major i menor nivell així com segons el país i la regió.
Una bona manera de saber si som una persona prou activa és realitzar aquest Test per a avaluar el nostre nivell d’activitat física.
Recomanacions principals sobre activitat física
Aquests són alguns dels missatges principals que transmet l’OMS en les seves recomanacions:
• Totes les persones poden beneficiar-se d’incrementar l’activitat física, per això han de realitzar-la de manera regular i limitar el sedentarisme.
• Qualsevol quantitat d’activitat física és preferible a cap, i com més es faci, millor.
Per a millorar la salut i el benestar, l’OMS recomana entre 150 i 300 minuts d’activitat física aeròbica moderada a la setmana o entre 75 i 150 d’activitat física aeròbica vigorosa en els adults. En nens i adolescents en canvi, es recomana una mitjana de 60 minuts d’activitat física aeròbica moderada al dia.
• L’enfortiment muscular beneficia a totes les persones.
Els adults també han de dur a terme activitats d’enfortiment muscular dos o més dies a la setmana, ja que això reporta beneficis addicionals per a la salut. Les persones majors (a partir de 65 anys) haurien d’incorporar activitats físiques que donin prioritat a l’equilibri i la coordinació, així com a l’enfortiment muscular, per a ajudar a evitar caigudes i millorar la seva salut.
L’exercici físic prevé…
• La pèrdua de massa muscular o sarcopènia
A partir dels 25 anys la força dels músculs disminueix progressivament si no fem res per evitar-ho. Després dels 50, una persona pot perdre fins a un 2% de massa muscular per any. La conseqüència? Ens tornem més propensos a les malalties físiques com el dolor d’esquena.
L’exercici físic i, l’entrenament de força en particular, ens ajuda a mantenir el nostre cos sa.

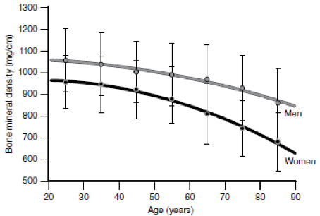
• La pérdida de masa ósea o osteoporosis
Hacer ejercicio a cualquier edad es vital para tener unos huesos sanos, y es fundamental para la prevención y el tratamiento de la osteoporosis. Los huesos, como los músculos, son tejidos vivos que responden al ejercicio y se fortalecen. En general, las mujeres y los hombres que hacen ejercicio con regularidad alcanzan una mayor densidad ósea (el nivel más alto de consistencia y fuerza de los huesos) que los que no hacen ejercicio.
La mayoría de las personas alcanzan este punto máximo de densidad ósea entre los 20 y los 30 años. Generalmente, a partir de esa edad, la densidad ósea empieza a disminuir, para evitar esto, las mujeres y los hombres mayores de 20 años pueden ayudar a prevenir haciendo ejercicio con frecuencia.

• El dolor d’esquena
La causa principal del mal d’esquena és l’afebliment dels músculs, en particular dels extensors profunds. Aquest és l’origen del 80% dels problemes relacionats amb aquest dolor.
L’exercici físic i, especialment l’enfortiment muscular, ajuda a prevenir i millorar el dolor d’esquena. Uns músculs febles signifiquen un menor suport i estabilització de la columna vertebral afavorint l’aparició de lesions i el desgast prematur. El nostre estil de vida cada vegada més sedentari i amb menor presència d’exercici físic augmenten aquesta situació. Més del 70% de les persones adultes sofreixen un episodi de dolor d’esquena en algun moment de la seva vida.
• L’aparició de malalties
L’activitat física regular pot reduir el risc d’hipertensió, cardiopaties coronàries, accidents cerebrovasculars, diabetis, obesitat i diversos tipus de càncer, entre ells el càncer de mama i el de còlon. També, influeix positivament en la nostra salut mental, reduint els símptomes d’ansietat, depressió i estrès.
• L’envelliment prematur
Encara que l’envelliment és un procés natural del nostre organisme, l’exercici físic pot ajudar-nos a retardar-lo i a combatre els problemes que van apareixent amb el pas dels anys. Molts estudis assenyalen que fer exercici de forma regular durant la nostra vida és sens dubte la millor medicina per a retardar el procés d’envelliment i mantenir-nos sans. Alguns experts assenyalen que és indispensable començar a fer exercici a partir dels 25-30 anys, quan comencem a perdre massa muscular.
En Wunder Training som especialistes en realitzar programes d’exercici físic orientats a la millora de la salut i qualitat de vida de les persones. Els nostres metges, entrenadors i fisioterapeutes dissenyen el teu pla d’entrenament de manera personalitzada, tenint en compte la teva edat, objectius i condició física.
El nostre mètode d’entrenament està basat en els estudis científics més rellevants dels últims 50 anys. Aconseguiràs millorar la teva forma física i guanyar en salut i benestar amb només 2 sessions de 60 minuts a la setmana. L’exercici és la millor medicina!


SESSIÓ D’ENTRENAMENT GRATUÏTA
Descobreix el teu pla d’entrenament personalitzat amb una sessió gratuïta

